Infinite Geometric Series

 

  1. Definition of an Infinite Geometric Series

    We learned that a geometric series has the form


              Definition
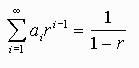
     The series
             
     is called the infinite geometric series



  2. Calculating the Infinite Geometric Series

     

    Example

    Suppose that a runner begins on a one mile track.  In the first part of the race the runner runs 1/2 of the track.  In the second part of the race the runner runs half the remaining distance (1/4 miles).  In the third part of the race the runner runs half the remaining distance (1/8 miles).  The runner continues the process indefinitely.  The runner will never complete the entire track, but after each part the runner will get closer and closer to finishing.  We say that the runner will run the entire track "in the limit".  The equation for this is

             

    We say that this geometric series converges to 1.  



    Example

    Suppose that there is a geometric sequence with

            r = 2 and a1 = 1

    then the infinite geometric series is

            2 + 4 + 8 + 16 + ...

    We see that these numbers just keep increasing to infinity.  In general, if |r| > 1 then the geometric series is never defined.  We say that the series diverges.  If |r| < 1 then recall that the finite geometric series has the formula

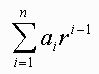
            S i = 1n  a1ri-1 = a1[(1 - rn)/(1 - r)]

    If n is large then rn will converge asymptotically to 0 and hence we have the formula 


              
          

     

    Example:  

    Find 

            S
    i = 1 n [2(1/3)i-1]

    Solution:

    We have 

            2/(1 - 1/3) = 2/(2/3) = 3

     

     

  3. Repeating Decimals

    Recall that a rational number in decimal form is defined as a number such that the digits repeat.  We can use a geometric series to find the fraction that corresponds to a repeating decimal.

     

    Example:

       
         .737373737... = .73 + .0073 + .000073 + ...

    we have 

            a1 = .73     and     r = .01 

    Hence

            .73737373.... = .73/(1 - .01) = (73/100)/(99/100) = 73/99

     

    Example:

            4.16826826826826... =  4.1 + .1[.682 + .000682 + .000000682 + ...]

    we have 

            a1 = .682 and r = .001 

    Hence

            4.16826826826826... =  4.1 + .1[.682/(1 - .001) 

            = 41/10 + (1/10)(682/1000)/(999/1000)

            = 41/10 + 682/9990 = 41,641/9990


  4. Interval Of Convergence 

    If an infinite series involves a variable x, then we call the interval of convergence the set of all x such that the interval converges for that x.  For example


             

    has interval of convergence

            -1 < x < 1.

     

    Example:  

    Find the interval of convergence of

     

    Solution

    We write 

            |3x - 2| < 1 

    we solve

            3x - 2 =1 or 3x - 2 = -1

    Adding 2 and dividing by three gives

            x = 1     or     x = 1/3

    Hence     

            1/3 < x < 1 

    is the interval of convergence.

 



Back to the College Algebra Part II (Math 103B) Site

Back to the LTCC Math Department Page

e-mail Questions and Suggestions