Practice Final

Please work out each of the given problems. Credit will be based on the steps that you show towards the final answer.  Show your work. 

 

Problem 1

  1. If f(x)  =  4 - kx, and if f(-2) = -10, find k.

Solution

f(-2)  =  -10 means that when x = -2, the function has value -10.  We can write

-10  =  4 - k(-2)

Two negatives make a positive so we have

-10  =  4 + 2k

Subtract 4 from both sides to get

-14  =  2k

Divide both sides by 2 to get

k  =  -7

 

  1. Let S = {-1, 2, 4, 5, 7} and T = {2, 3, 4, 5}.  Find

            S U T

S U Tmeans the union of S and T, that is a number is included if it is in either S or T or both.  These numbers are

{-1, 2, 3, 4, 5, 7}

 

Problem 2

  1. Evaluate the following:

    [-3-2(1-(-4)) + 5] / 4
     

Solution

We do one operation at a time remembering our order of operations:

[-3-2(1-(-4)) + 5] / 4

=  [-3-2(5) + 5] / 4        1 - (-4)  =  1 + 4  =  5

=  [-3 - 10 + 5] / 4        2(5)  =  10

=  [-13 + 5] / 4             -3 - 10  =  -13

=  [-8] / 4                     -13 + 5  =  -8

=  -2

  1. Which property of the real numbers justifies the equality below:

     x(3+y)  =  (x)(3) + xy

Solution

The x is being multiplied through.  This is called the "Distributive Property of Real Numbers."

 

Problem 3

  1. Evaluate 3x3 - 2xy + x - 3y + 2 when x = 1 and y = -2.

Solution

We plug in 

3(1)3 - 2(1)(-2) + (1) - 3(-2) + 2 

=  3(1) - 2(-2) + 1 - (-6) + 2

=  3 + 4 + 1 + 6 + 2  =  16
 

  1. Simplify:  3(q - 4) - 4(2 - 5q)

Solution

We multiply through to get

=  3q - 12 - (8 - 20q)

=  3q - 12 - 8 + 20q

=  23q - 20

 

Problem 4

If the equation is an identity or contradiction, state so.  Otherwise solve for x.

              1                    2
   A.           (x - 3)  =        (x + 1)
              3                    5

Solution

First multiply both sides by the common denominator (15) to get

              1                        2
       15       (x - 3)  =  15      (x + 1)
              3                        5

5(x - 3)  =  6(x + 1)        Multiply through

5x - 15  =  6x + 6           Subtract 6x from both sides

-x - 15  =  6                    Add 15 to both sides

-x  =  21                         Multiply both sides by -1

x  =  -21

    B.  5(3 - 2x)  =  2(4 - 5x)

Solution

First we multiply through to get

15 - 10x  =  8 - 10x        Add 10x to both sides

15  =  8

This is a contradiction hence there is no solution.

 

 

Problem 5

When you arrived in Lake Tahoe five years ago, your math instructor had been teaching twice as long as your English instructor.  Today, the total number of years that your math and English instructor have been teaching is 18 years.  When did your math instructor begin teaching?

Solution

Let

x = the number of years your math instructor has been teaching

Then

18 - x  =  the number of years your English instructor has been teaching

and five years ago your math instructor had been teaching x - 5 years and your English instructor had been teaching 18 - x - 5 years.  Hence

x - 5  =  2(18 - x - 5)

x - 5  =  36 - 2x - 10  =  26 - 2x

3x - 5  =  26

3x  =  31

x  =  10 1/3

Your math instructor has been teaching for 10 1/3 years.

        

Problem 6

Solve for x.  Write your solution on a number line.

  1. 10 - 3x < 2

Solution

First subtract 10 from both sides

        -3x < -8     

Divide both sides by -3 remembering to switch the inequality sign since -3 is negative.

                     8
        x  >              = 2 2/3
                     3

Now place this on a number line.  We use an open circle since we do not want to include the endpoint of 2 2/3.

        Number Line with arrow with open circle at 2 2/3 pointing to the right

 

  1. -5 < 3 + 2x < 7

Solution

We subtract 3 from all three sides.

-8  <  2x  <  4

-4  <  x  <  2

Now place this on a number line.  We use an open circle for the excluded left endpoint, -4 and a closed circle for the included right endpoint 2.

          

 

Problem 7

  1. Plot the points (2,-3) and (5,0).

Solution

We move 2 to the right and 3 down for the first point.  For the second point move 5 to the right and plot this point which is on the x-axis.  The points are shown below.
        

  1. Find the slope of the line perpendicular to the line that contains the points (-2,7) and (-5,1).

Solution

First we find the slope of the line that contains the points (-2,7) and (-5,1).  We use the rise over run property.

                     1 - 7  
        m  =                       
                    -5 - (-2)

                    -6                2
            =                 =                
                    -3                1

Our line is perpendicular to this line so the slope is the negative reciprocal which is

                     1  
        m  =  -         
                     2

 

Problem 8

Graph the following lines.

  1. x - 3y = 6

Solution

First construct a table.  Notice that if x = 0 then 

0 - 3y  =  6

-3y  =  6

y  =  -2

and if y = 0 then

x - 3(0)  =  6

x  =  6

x y
0 -2
6 0

The line passes through the points (0,-2) and (6,0).  We plot these two points and connect the dots with a line.

       


 

  1. x  =  4

Solution

When there is no y in the equation, we get a vertical line.  Its x-intercept is (4,0).  The graph is shown below.

       
 

  1. The line with y-intercept 2 and slope 3/2.

We first draw the point (0,2).  Then from this point rise up 3 and run to the right 2.  Then connect the dots.  The graph is shown below.

       

 

Problem 9

  1. Find the equation of the line that passes through the points (2,3) and (-4,1).

Solution

First, find the slope:

                     1 - 3              -2             1
           m  =                  =            =            
                    -4 - 2              -6            3

Now use the point slope formula

                        1        
        y - 1  =         (x + 4)      
  Multiply through
                        3

                        1            4
        y - 1  =          x +             
  Subtract 1 from both sides 
                        3            3

                  1            4
        y  =         x +          + 1     
Note that 1  =  3/3 and add
                  3            3

                  1            7
        y  =         x +            
                  3            3

 

  1. Find the equation of the line that is perpendicular to the line y = 3x - 4 and has y-intercept 4.

Solution

The given line has slope 3.  To find the slope of the perpendicular line we take negative the reciprocal -1/3.  Now use the slope-intercept equation of a line.

                     1       
        y  =   -        x +  4
                     3       

 

 

Problem 10

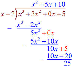
Divide

(x^3 + 3x^2 + 5)/(x-2)

Solution

Since there are two terms in the denominator, we need to use polynomial division.  Notice that the numerator does not have an "x" term.  It is helpful to insert a "0x".  We have

Polynomial Division

Thus the solution is

x^2+5x+10+ 25/(x-2)

 

Problem 11

Find

  1. x(x2)3
     

Solution

First use the power rule for exponents.  

x(x2)3  =  x(x6)

Now use the product to sum rule.

x(x6)  =  x1(x6)  =  x7 

 

  1.      35x2y
                       
        (32xy3)2

First use the power rule on the denominator.  We can distribute the 2 through each of the powers.

                   35x2y
         =                     
                  34x2y 

Now use the division to difference rule of exponents and subtract the terms

                31x0
         =              
                  y 

Anything to the zero power is 1 so

                3
         =         
                y 

 

  1. 4x0-3y0

Solution

Anything to the zero power is 1, hence we get

=  4 - 3  =  1

 

Problem 12

  1. What is the degree of the polynomial
            x2y + xy - y2 + 7

Solution

The degrees of each of the monomial terms are

2 + 1, 1 + 1, 2, and 0

The degree of the polynomial is the highest degree of its terms, hence the degree is 3.
 

  1. Find (3a2b3 + 2ab2 -4ab3) - (ab2 - 2a3b + 3ab3)

Solution

First distribute the "-" through

3a2b3 + 2ab2 - 4ab3 - ab2 + 2a3b - 3ab3 

Now combine like terms

=  3a2b3 + ab2 - 7ab3 + 2a3b         
 

  1. Find 3xy2(4 - x - xy2)

Solution

Just distribute

 =  12xy2 - 3x2y2 - 3x2y4 

Since there are no like terms, we are finished.
 

  1. Find       2xy - x3
                                   
                       xy2 

Solution

We can split the numerator

              2xy           x3
        =             -           
               xy2          xy2 

Now we can divide using the quotient to difference rule for exponents.

                2           x2
        =             -           
                y           y2 

        

Problem 13

Find

  1. (2x - y)(x + 3y)

Solution

We use FOIL:

F  =  2x2     O  =  6xy    I  =  -xy    L  =  -3y2 

Hence, the product is

2x2 + 6xy - xy - 3y2 

Now combine like terms to get

2x2 + 5xy - 3y2 

 

  1. (x - y - z)(x + z)

Solution

We distribute

(x - y - z)(x) + (x - y - z)(z)

Now distribute again to get

x2 - xy - xz + xz - yz - z2 

Now combine like terms to get

x2 - xy - yz - z2 
 

  1. (4x - 5y)2

We use the special product formula

(4x)2 - 2(4x)(5y) + (5y)2 

=  16x2 - 40xy + 25y2 

        

Problem 14

Solve the following equations

  1. |2- 3x|  - 5  =  0

Solution

First add 5 to both sides to isolate the absolute value sign.

|2 - 3x|  =  5

Next write this as a compound inequality.

2 - 3x  =  5        or        2 - 3x  =  -5

Subtract 2 from both sides on each.

-3x  =  3or  -3x  =  -7

Finally divide both sides by -3 to get

x  =  -1 orx  =  7/3
 

  1. |3x + 4| + 7  =  0

Solution

First subtract 7 from both sides to isolate the absolute value sign.

|3x + 4|  =  -7

Since an absolute value can never be negative, this has no solution.

 

Problem 15

Write down the definition of a function

Solution

A function is a rule that assigns to each element of a set (called the domain) a unique element of a second set (called the range).

 

Problem 16

A beaker contain 10 ml of a 60% solution of hydrochloric acid (HCL).  A chemist wants to add an amount of 25% hydrochloric acid so that the mixture is 30% hydrochloric acid.  How many ml of the 25% solution should the chemist add?

Solution

Let

x  =  the amount of 25% hydrochloric acid that is added

 

Create a table containing the information.

  ml   X   Concentration = Amount of HCL
25% Solution x 0.25 0.25x
60% Solution 10 0.60 6
30% Solution 10 + x 0.30 0.30(10+x)

Since the amount of HCL from the mixture is equal to the amount from the 25% solution plus the amount from the 60% solution, we have the equation

0.25x + 6  =  0.30(10 + x)

Multiply through by 100 to get rid of the decimal.

25x + 600  =  30(10 + x)

Distribute the 30 through

25x + 600  =  300 + 30x

Subtract 30x from both sides to get

-5x + 600  =  300

Subtract 600 from both sides to get

-5x  =  -300

Divide both sides by -5 to get

x  =  60

We can conclude that the chemist needs to add 60 ml of the 25% solution.