Practice Exam III

Key

Problem 1  Let C = { x|x is an even integer}, D = {2,3,5,10} and E = {1,2,3,4}

A.  Find C intersection D

B.  Find D Union E

Problem 2  The department store is having a sale on apparel.  The regular price of a new dress is $48.00 and the sale price is $33.60.  Find the percent discount.

Problem 3  Find the domain of the function

f(x) = (x-3)/(x-2)

 

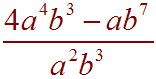
Problem 4  Divide

(4a^4b^3 - ab^7)/a^2b^3

Problem 5  Divide

(3x^2+16x-7)/(x+4)

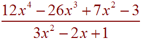
Problem 6  Divide

(12x^4-26x^3+7x^2-3)/(3x^2-2x+1)

Problem 7  Determine whether each graph is the graph of a function.

A.  Graph where all vertical lines cross the graph once

B.  Graph of a curve that starst top right goes to middle left and then goes to bottom right

 

Problem 8  Tahoe Smoothie Swirl has a new drink that is 40% carrot juice.  How ounces of pure carrot juice need to be added to 12 ounces of a mixed drink that is 30% carrot juice?

Problem 9  Solve each compound inequality.  Write the solution set using interval notation and graph it.

A.  x - 4 > 1   or    7 - x  > 5

B.  2/3 x  < 4   and   x - 5  > 4

C.  -1/3 <= (2x-1)/6 < 1/2

 

Problem 10  Solve the absolute value equation

A.  3|2 - x| + 5  =  14

B.  5|6 - x| +7  =  3

 

Problem 11  Find the domain and range of each relation.  Then determine whether it is a function.

A.  {(1,2), (2,4), (4,7), (4,8)}

B.  x + 6y  = 12

C.   

 

Problem 12  Let

    f(x) = 3x - 5     and     g(x)  =  x2 - x

Find

A.  f(-4)

B.  f(1) - g(-3)