The Gradient

I.  Quiz

II.  Homework

III.  Directional Derivatives

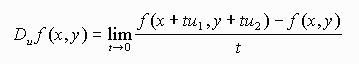
Suppose you are given a topo map and want to see how steep it is from a point that is neither due West or due North.  Recall that the slopes due north and due west are the two partial derivatives.  The slopes in other directions will be called the directional derivatives.  Formally, we define

Definition  Let f(x,y) be a differentiable function and let u be a unit vector then

Notice that if u is i then the directional derivative is just delf/delx and if u is j the it is delf/dely.

Theorem:

Let f(x,y) be a differentiable function, and u be a unit vector with direction theta, then

Example:  Let f(x,y) = 2x + 3y2 - xy and v = <3,2> Find Dv f(x,y)

We have delf/delx = 2 - x and delf/dely = 6y - x, and ||v|| = sqrt(9 + 4) = sqrt(13)

Hence

Dv f(x,y) = <2 - y,6y - x>@<3/sqrt(13),2/sqrt(13)> = 2/sqrt(13) (2 - y)  + 3/sqrt(13) (6y - x)

Exercise

Let f(x,y) = exy2 and v = <2,-5>

Find  Dv f(x,y)

IV.  The Gradient

We define grad f = <fx,fy>

Notice that  

Du f(x,y) = grad f @u

Theorem

1)  If grad f(x,y) = 0 then for all u, Du f(x,y)

2)  grad f(x,y) is the maximal directional derivative direction.

3)  grad f(x,y) is the minimal directional derivative direction.

Proof:  

1)  If grad(x,y) = 0 then   Du f(x,y) = grad f @u = 0@u = 0

2) and 3)  Du f(x,y) = grad f @u  = ||grad f|| cos theta

This is a maximum when theta is 0 and a minimum when theta = pi.

If theta is 0 then grad f and u point in the same direction.  If theta = pi then u and grad f point in opposite directions.

Exercise:   Suppose that a hill has altitude w(x,y) = x2 - y

Find the direction that is the steepest uphill and the steepest downhill.

V.  The Gradient and Level Curves

If f is differentiable at (a,b) and grad f not 0 at (a,b) then grad f is perpendicular to the level curve through (a,b).

We will show this geometrically.