Improper Integrals

  1. Definition of Improper Integrals.

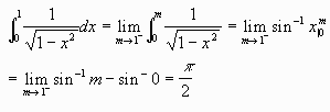
    If f(x) is continuous on (a,b] and not continuous at x = a, then we define

    Example:

     

  2. Improper Integrals Involving Infinity:

    We define

    Example:

    int from 1 to infinity of 1/x2  dx  =  lim as m -> infinity of int from a to m of 1/x2 dx

    =  lim as m -> infinity of  -1/x from 1 to infinity =  lim as m -> infinity of  -1/m - (-1/1) = 0 + 1 = 1

    Exercises:  

    A) int from 0 to infinity of xe-x dx

    B)  int from  -infinity to infinity of 1/(1 + x2) dx 

    C)  int from 0 to infinity of sinx dx

    D)  Determine for which values of p the integral

    int from 1 to infinity of 1/xp dx converges.

    E)  Use the formula for arclength to show that the circumference of the semi-circle y = sqrt(r2 - x2) is (pi)(r).