Integrals Involving Arctrig Functions
Integrating Involving Inverse Trig
Recall that
These three formulas immediately imply
Examples
A)
B)
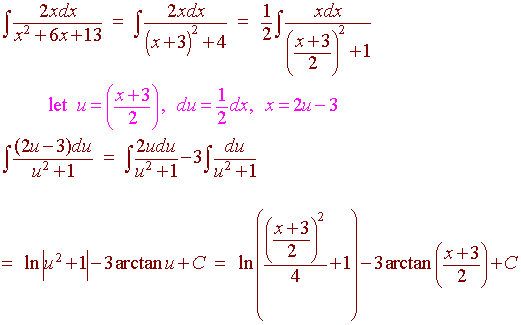
C)
Back to the Math Department Home e-mail Questions and Suggestions
|