The Definite Integral

I.  Quiz

II.  Homework

III.  The Monte Carlo Method For Finding Area

Class picks four number from one to 100.  We will approximate the area of the curve under the curve y = sqrt(x) from 1 to 100 to estimate the area.  

IV.  The Definite Integral

Definition:  Let a = x0, x1, ...xn = b be a partition of [a,b] and let    

xi-1  ci <    xi  

then

is called a Reimann Sum, and the limit as the maximum Dxi  approaches 0 is called the definite integral.  

Note:  f(x) can be negative

Usually to compute a definite integral, we use left or right sums.

Example

Find 

Solution:  The right sum is 

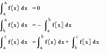
V.  Special cases:

Example: