Area

I.  Homework

II.  Area of a rectangle and using rectangles to approximate area under a curve

Recall that the area of a rectangle is the height times the base.  What if we wanted to paint a wall that has a ceiling the shape of y = x2 , a flat floor and a right wall at x = 2 yards and a left wall at x = 5 yards.

 We can approximate the area by cutting out 6 rectangles.  Since the base of the wall is 5 - 2 yards long, and there are 6 rectangles, the base of each rectangle is (5 - 2)/6 = .5 yards.  The height of each rectangle is the y-coordinate of the left side of each rectangle.  The x- coordinates are

2 + 0(.5),2 + 1(.5), 2 + 2(.5), 2 + 3(.5), 2 + 4(.5), 2 + 5(.5) so that the y coordinates are

(2 + 0(.5))2,(2 + 1(.5))2, (2 + 2(.5))2, (2 + 3(.5))2, (2 + 4(.5))2, (2 + 5(.5))2

We see that the ith rectangle has y coordinate:

height = (2 + i(.5))2 = 4 + 2i + .25i2

To get the area of the ith rectangle we multiply the height by the base:

(4 + 2i + .25i2)(.5)

Finally to get the total area we add the terms up:

sum[(4 + 2i + .25i2)(.5)]

This will be a lower bound for the area.  

Exercise:  Find an upper bound for the area.

III.  Left and Right Sums

If we take the limit as i approaches infinity, We arrive at the formulae:

 

Left Sum

Right Sum

Note:  f(x) can be negative

Usually to compute a definite integral, we use left or right sums.

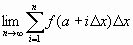
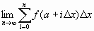
Example

Use the right sum to find

Solution: The right sum is