-
Definition of an Infinite Geometric Series
We learned that a geometric series has the form
Definition
The series

is called the infinite geometric series. |
-
Calculating the Infinite Geometric Series
Example
Suppose that a runner begins on a one mile track. In the first part of
the race the runner runs 1/2 of the track. In the second part of the
race the runner runs half the remaining distance (1/4 miles). In the
third part of the race the runner runs half the remaining distance (1/8
miles). The runner continues the process indefinitely. The
runner will never complete the entire track, but after each part the runner will
get closer and closer to finishing. We say that the runner will run
the entire track "in the limit". The equation for this is

We say that this geometric series converges to 1.
Example
Suppose that there is a geometric sequence with
r = 2 and
a1 = 1
then the infinite geometric series is
2 + 4 + 8 + 16 + ...
We see that these numbers just keep increasing to infinity. In general, if
|r| > 1 then the geometric series is never defined.
We say that the series diverges.
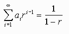
If |r| < 1 then recall that the finite geometric series has the formula
S
i = 1n a1ri-1 = a1[(1 -
rn)/(1 - r)]
If n is large then rn
will converge asymptotically to 0 and hence
we have the formula
Example:
Find
S i = 1 n [2(1/3)i-1]
Solution:
We have
2/(1 - 1/3) = 2/(2/3) = 3
-
Repeating Decimals
Recall that a rational number in decimal form is defined as a number such
that the digits repeat. We can use a geometric series to find the fraction
that corresponds to a repeating decimal.
Example:
.737373737... = .73 + .0073 + .000073 + ...
we have
a1 = .73
and r = .01
Hence
.73737373.... = .73/(1 - .01) = (73/100)/(99/100) = 73/99
Example:
4.16826826826826... = 4.1 +
.1[.682 + .000682 + .000000682 + ...]
we have
a1 = .682 and
r =
.001
Hence
4.16826826826826... = 4.1 +
.1[.682/(1 - .001)
= 41/10 + (1/10)(682/1000)/(999/1000)
= 41/10 + 682/9990 = 41,641/9990
-
Interval Of Convergence
If an infinite series involves a variable x, then we call the interval of
convergence the set of all x such that the interval converges for that x.
For example
has interval of convergence
-1 < x < 1.
Example:
Find the interval of convergence of
Solution
We write
|3x - 2| < 1
we solve
3x - 2 =1 or 3x - 2 = -1
Adding 2 and dividing by three gives
x = 1
or x = 1/3
Hence
1/3 < x < 1
is the interval of convergence.