|
You have just conducted a preliminary survey of 22 students asking them how many times a week they eat in fast food restaurants. The standard deviation for this survey was 2.8. If you want to construct a 95% confidence interval for the mean number of times per week students eat in fast food restaurant and have a margin of error no more than plus or minus 0.05, at least how many additional students must you survey?
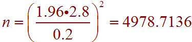
We use the formula:
Now write down the cast of characters: s = 2.8 E = 0.05 c = 0.95 z = 1.96 Plug in to get
Next note that we can't survey a fractional number of people. For sample size calculations we always round up. We need to survey a total of 4979 students. Since we have already surveyed 22 students, we subtract 22 from the total to get 4979 - 22 = 4957 We can conclude that in order to construct this 95% confidence interval with a margin of error of no more than plus or minus 0.05 years we need to survey at least 4957 more students. |