Solution to Problem 4

Suppose you want to construct a 90% confidence interval for the proportion of college students that want to work in the health care profession after graduation.  If you want a margin of error of no more than 5%, how many college students must you survey?

Solution

Since there is no preliminary estimate for the population proportion, we use the formula:

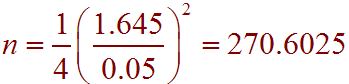
n = 1/4 * (z/E)^2

We have:

E  =  0.05

c  =  0.90

zc = 1.645

Plug these numbers into the formula to get:

        n = 1/4 * (1.645/0.05)^2 = 270.6025 

We always round up, so we can conclude that we must survey 271 college students.

Back to the handout