Substitution Part I

I.  Quiz

II.  Homework

III.   Substitution

Recall that the chain rule states that

(f(g(x)))' = f'(g(x))g'(x)

Integrating both sides we get:

int[f(g(x)]'dx = int[f'(g(x)g'(x)dx] or

Example:

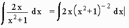
Calculate

Let u =  x2 +1

du/dx = 2x or du = 2xdx

We substitute:

int[u-2 du] = -u-1 + C =  (x2 +1)-1  + C

Steps:

1)  Find the function derivative pair (f and f')

2)  Let u = f(x)

3)  find du/dx and adjust for constants

4)  Substitute

5)  Integrate

6)  Resubstitute

We will try many more examples including those such as

int[xsin(x2)dx]

int[x sqrt(x - 2)dx] 

More Substitution