Logs and Derivatives

I.  Quiz

II.  Homework

III.  Definition of the Natural Logarithm

Recall that

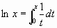
What is ?

Definition:  For x > 0 we define

Note:  The 2nd FTC tells us that d/dx(lnx) = 1/x

IV.  Properties of lnx

1)  ln(1) = 0

2)  ln(ab) = ln(a) + ln(b)

3)  ln(an) = nlna

4)  ln(a/b) = lna - lnb

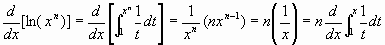
Proof of 3):  

So that  ln(xn) and nlnx have the same derivative.  Hence, n(xn) = nlnx + C.  Plugging in x = 1 we have that C = 0.

V)  Definition of e

Let e be such that lne = 1 ie. 

.

VI)  Examples:(we will work on the following in groups)

Find the derivatives of the following functions:

A)  ln(x2  + 1)

B)  ln(lnx)

C)  (lnx)/x 

D)  (lnx)2

E)  ln(secx)

F)  ln(cscx)

G)  Show that 3lnx - 4 is a solution of the differential equation

xy'' + y' = 0

H)  Find the relative extrema of xlnx

I)  Find the equation of the tangent line to 3x2 - lnx at (1,3)

J)  Find dy/dx for ln(xy) + 2x2 = 30.