Variation of Parameters

In the last section we solved nonhomogeneous differential equations using the method of undetermined coefficients.  This method fails to find a solution when the functions g(t) does not generate a UC-Set.  For example if g(t) is sec(t), t -1, ln t, etc, we must use another approach.  The approach that we will use is similar to reduction of order.  Our method will be called variation of parameters.

Consider the differential equation

        L(y)  =  y'' + p(t)y' + q(t)y  =  g(t)

And let y1 and y2 be solutions to the corresponding homogeneous differential equation 

        L(y)  =  0

We write the particular solution is of the form 

        yp = u1y1 + u2y2

where u1 and u2 are both functions of t.  Notice that this is always possible, by setting 

        u1  =  1/y1        and        u2  =  (yp - 1)/y2 

Actually more can be said, since we are choosing two parameters to find one solution, we can impose one additional condition on the u1 and u2 and still end up with a solution.  We make the assumption that 

        u1' y1 + u2' y2  =  0

This assumption will come in handy later.

Next take the derivative

        yp' = u1'y1 + u1y1' + u2'y2 + u2y2

The assumption helps us simplify yp' as 

        yp' =  u1y1' +  u2y2

Now take a second derivative

        yp'' = u1'y1' + u1y1'' + u2'y2' + u2y2''

Now substitute into the original differential equation to get

        (u1'y1' + u1y1'' + u2'y2' + u2y2'') + p(t)(u1y1' +  u2y2' ) + q(t)(u1y1 + u2y2)  =  g(t)

Combine terms with common u's, we get

        u1(y1'' + p(t)y1' + q(t)y1) + u2(y2'' + p(t)y2' + q(t)y2) + u1'y1' + u2'y2'  =  g(t)

Now notice that since y1 and y2 are solutions to the differential equation, both expressions in the parentheses are zero.  We have 

        u1'y1' + u2'y2'  =  g(t)

This equation along with the assumption give a system of two equations and two unknowns

        u1' y1 + u2' y2  =  0

        u1'y1' + u2'y2'  =  g(t)

Using matrices we get

       

We recognize the first matrix as the matrix for the Wronskian.  Calling this W, and recalling that the Wronskian of two linearly independent solutions is never zero we can take W-1 of both sides to get

       

Integrate to find u1 and u2.  

    

 

          

 

   

 

Example

Given that 

        y1  =  x2  and   y2  =  x2 ln x

are solutions to 

        x2y'' - 3xy' + 4y  =  x2ln x

to the corresponding homogeneous differential equation, find the general solution to the nonhomogeneous differential equation.

 

Solution

First, we divide by x2 to get the differential equation in standard form

        y'' - 3/x y' + 4/x2 y  =  ln x

We let

        yp = u1y1 + u2y2 

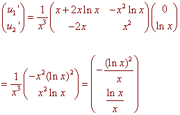
The Wronskian matrix is 

       

We use the adjoint formula to find the inverse matrix.  First the Wronskian is the determinant which is 

        W  =  x3 + 2x3 ln x - 2x3 ln x  =  x3 

So the inverse is 

       

We have 

       

 Integrating using u-substitution gives

                

                    -(ln x)3
        u1  =                  
                        3         

                    (ln x)2
        u2  =                  
                        2         

We have 

                     
        yp  =  -1/3 x2(ln x)3 + 1/2 x2 (ln x)3  =  1/6 x2(ln x)3
                               

Finally we get

                                                
        y  =  c1 x2 + c2 x2 ln x + 1/6 x2 (ln x)3

 


Back to the Linear Second Order Differential Equations Home Page

Back to the Differential Equations Home Page

Back to the Math Department Home Page

e-mail Questions and Suggestions