MATH 107  PRACTICE MIDTERM 1

 

Please work out each of the given problems.  Credit will be based on the steps that you show towards the final answer.  Show your work.

 

 

PROBLEM 1  Please answer the following true or false.  If false, explain why or provide a counter example.  If true explain why.

  1.  (15 Points)  If    then    converges


    Solution
    True, by the comparison test.  Compare with S 1/n2 which converges by the P-series test (P  =  -2 < -1).

  2. (15 Points)  Let 



    then if x = 0  is in the domain of  f , then x = 4  is also in the domain of  f.

    Solution
    True, the center of convergence is 3 and the radius of convergence is at least 3 - 0 = 3.  Since 4 - 3  =  1  < 3, x = 4 is in the domain of f.

PROBLEM 2  (25 Points)

 Determine the Taylor series representation centered at x = 2 of

                3
f(x)  =                  
              4x - 7

Solution

       3                       3
                  =                                
    4x - 7           4(x - 2 + 2) - 7

           3                                   3
=                          =                                    
       4(x - 2) + 1               1 - [-4(x - 2)]

=  3S (-1)n4n(x-2)n 

PROBLEM 3  (25 points)

Determine the radius and interval of convergence of

       

  Solution

To find the radius of convergence, we use the ratio text

       

or

        |x - 4| < 1/2

thus the radius of convergence is 1/2.

Solving gives

        2x - 8  =  1 or 2x - 8  =  -1

        x = 9/2 or x = 7/2

Now test the endpoints.  Plugging in x  =  9/2 gives

which converges by the alternating series test. 

Plugging in x  =  7/2 gives

which diverges by either the integral test or the limit comparison test (comparing with the divergent harmonic series S1/n

We conclude that the interval of convergence is 

        (7/2,9/2]

PROBLEM 4

For a Normal Distribution (Bell curve) the integral

       

 represents

        P(0 < z < x)

the probability that an event will lie between 0 and x. 

  1. (15 Points)  Determine the Maclaurin series for f(x) .

    Solution

    Since

    ex = S xn/n! 

    We plug in x = -t2/2




    Now integrate to get








  2. (15 Points)  Find P(0 < z < 1) accurate to two decimal places and explain why you are assured of this accuracy.

Solution

We have 

       

This quantity is largest when x is1.  We set

       



A calculator shows that this is first achieved when n is 2.  Now plug in to get

        0.34

        

PROBLEM 5   Determine if the following series converge or diverge.  Explain which test(s) you are using and show all your work.

A)    (16 Points) 


Solution

We use the integral test.  First not that 1/(x ln x) is a monotonically decreasing function. Now integrate to get

       


Hence the series diverges by the integral test.

B)    (16 Points)   


Solution 

We use the limit test

Hence by the limit test, the series diverges

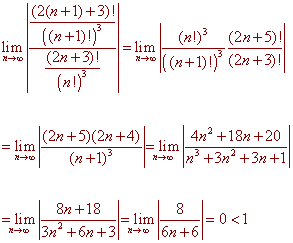
C)   (16 Points)


Solution

We use the ratio test

       

Hence by the ratio test, the series converges

D)   (17 Points)   

       

(Determine if the series converges absolutely, conditionally, or diverges.)

Solution

By the geometric series test, with r = -1/3, the series converges absolutely.