|
NAME
MATH 106
PRACTICE
MIDTERM 2 Please
work out each of the given problems. Credit
will be based on the steps that you show towards the final answer.
Show your work. PROBLEM 1 Set up the
integrals that solve the following problems.
Sketch the appropriate diagram for each. Then use a calculator to finish the problem. A) (10
Points) Find the volume of the solid that is formed by revolving the region
bounded by y = x3 + x and y
= x2 + x
around the y-axis.
We choose a vertical
cross-section since we do not want to solve for y. The picture shows that
this produces a cylinder. The Surface area of a cylinder is
x = 0 or x = 1
B) (10 Points). Find the volume of the solid that is formed by revolving the region bounded by y = x4 and y = x between x = 0 and x = 1/2 about the line y = -10. Solution
We choose a vertical
cross-section again since we do not want to solve for y. The picture shows
that this produces a washer. The area of a washer is
C) (10 Points) Find the volume of the solid that is formed by revolving the region bounded by y = x3 - x and y = 3x around the line x = 5. Solution
From the picture, we can
see that since the top curve changes we will need to perform two
integrations. We can also see that we will need to use the method of
cylindrical shells. The Surface area of the bottom cylinder is The Surface area of the
top cylinder is x = -2 or x = 0 or x = 2
= 80 p
D) (10
Points) Find the area of the region bounded by the curves Solution
Notice
that there are two regions. We set We integrate
= 101.75
E)
(10 Points) Find the length of the curve y
= sin x
for 0 < x < 2p.
We use the arc length formula: 1 + y'2 = 1 + cos2 x So that the length is
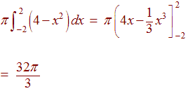
F) (10 Points) Find the volume of the sphere of radius 2. Solution We can find the volume of the sphere by revolving the curve
about the
x-axis. The picture shows that we can use the disc method with r2 = 4 - x2 We get the integral
A) (10 Points) Find the derivative of sec-1(2x + 1) Solution Use the chain rule
B)
(10 Points) Show that
Solution
PROBLEM 3 Find the following indefinite integrals Solution Let u = 4 - x2 du = -2x dx
B)
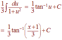
(15 Points)
Solution We first
complete the square x2 + 2x + 10 = x2 + 2x + 1 - 1 + 10 = (x + 1)2 + 9 Now integrate
u2 = (x + 1)2 / 9
u = (x + 1) /
3 du = 1/3 dx
We get
Problem 4 (20 Points) When completed, the International Space Station orbiting at 238 miles above the surface of the earth will weigh one million pounds (at the surface of the earth 4000 miles from the center). How much total work will it take to send the entire station in orbit? We use the fact that F = k / x2 1,000,000 = k / 40002 k = 1.6 x 1013 So that
![]()
It will take 220 million mile pounds to send the entire station in orbit
Problem 5 (20 Points) A 30 foot chain that weighs 3 pounds per foot is used to lift a 200 pound piece of sheet metal from the ground to the top of a 30 foot tall building. How much work is required? Solution We have Work = Work for the sheet metal + Work for the chain Work for the sheet metal = (200)(30) = 6,000 To find the work for the chain, we have DW = (3Dy)(30 - y) The total work is the integral The
total work is
6000 + 1350 = 7350 foot pounds Back to the Math
Department Home Page
Questions, Comments and Suggestions:
Email: greenl@ltcc.edu
|