|
MATH
106
PRACTICE FINAL Please work out each of the given problems. Credit will be based on the steps that you show towards the final answer. Show your work. PROBLEM 1 Evaluate the given integrals, derivatives and limits. A)
(20 Points)
Solution We integrate by parts with
u = tan-1(2x)
dv = dx The integral becomes
= x tan-1(2x) - 1/4 ln|1 + 4x2| + C
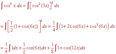
B)
(20 Points) Solution
![]()
= 1/4 x + 1/12 sin(6x) + 1/8 x + 1/96 sin(12x) + C C)
(20 Points) Solution
A(x2 + 9) + (Bx +C)x = 18
so 2x2 + 18 + Bx2 + Cx = 18 Equating coefficients 2 + B = 0 and C = 0 so B = 0 Now integrate
= 2ln|x| - ln|x2 + 9| + C
D)
(20 Points) Solution This integral can be done with basic u-substitution u = 4x2 + 25 du = 8xdx The integral becomes
E)
(20 Points) Solution Use integration by parts for this one.
u = ln x dv
= x3 + 4 dx We have
= (ln x) (1/4 x3 + 4x) - 1/16 x4 - 4x + C F)
(20 Points) Solution We can use trig substitution with
x = tan q
dx = sec2q
dq
Now integrate
= ln|sec q +tan q| + C Now re-substitute to get
G)
(20 Points)
Solution
H)
(20 Points)
Solution Use the definition of an improper integral and integrate by parts u = x dv = e-xdx du = dx v = -e-x
PROBLEM 2 Set up the integrals that solve the following problems. Sketch the appropriate diagram for each. Use a calculator to evaluate the integral. A) (15 Points) Find the volume of solid that is formed by revolving the region bounded by y = x2 - 4x and y = 2x - 5 around the y-axis. Solution We draw a cross section perpendicular to the x-axis. This produces a cylinder. We have A = 2prh r = x h = (2x-5) - (x2 - 4x) = -x2+ 6x - 5 To
find the limits, we set the equations equal to each other x2 - 4x = 2x - 5 or x2 - 6x + 5 = 0 (x-5)(x-1) = 0 x = 1 or x = 5 The volume is
B) (15Points) Find the volume of the solid that is formed by revolving the region bounded by y = x2 + 1 and y = 5 around the line y = 10 . Solution We
draw a cross section perpendicular to the x-axis. We have Set the equations equal to each other x2 + 1 = 5 x = -2 or x = 2Now integrate
PROBLEM 3
(30 Points) A force of 80 Newtons stretches a spring 70 centimeters on a mechanical device for driving fence posts. Find the work done in stretching the spring the required 70 centimeters. Solution Use Hook's law 80 = 70k k = 8/7Now the work is the integral of the force times the distance
PROBLEM 4 (11 Points Each) In 1960 the world population reached 3 billion people and in 1999 the population reached 6 billion people.
PROBLEM 5 (31 Points) Let f(x) = x3 + x + 4
We use the formula 1 g '(4) = f '(g(4)) We find g(4) by setting f(x) equal to 4: 4 = x3 + x + 4 x3 + x = 0 x(x2 + 1) = 0 Hence x = 0. Now calculate f '(0) = 3(0)2 + 1 = 1 Finally 1 g '(4) = 1 PROBLEM
6 Please
answer the following true or false. If
true, provide an explanation. If
false provide an explanation or counter-example. A.
(15 Points) If f(x)
is a continuous positive function then the surface area generated by revolving
the curve y = f(x)
for
0 < x < 1
about the x-axis is equal to the
surface area generated by revolving the curve y
= f(x) + 1 for0 < x < 1
about the x-axis False, when using frostrums, the radius for the first case is f(x) and the radius for the second case is one more than that. B. (15 Points) An aquarium has two exhibits each with vertical windows of the same area such that the bottoms are at the same depth and the tops are at the same depth. Then even though the shapes of the two windows may be different, the fluid forces exerted on the windows are equal.
False, if the first window has most of its area at the top part of the window, it will have a smaller fluid force exerted on it then a window with most of the area at the bottom part.
Questions, Comments and Suggestions: Email: greenl@ltcc.edu |