|
The Product and Quotient Rules
The Product Rule
|
Theorem (The Product Rule)
Let f and g
be differentiable functions. Then
[f(x)
g(x)] ' = f(x) g '(x) + f '(x) g(x)
|
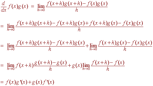
Proof:
We have
Example
Find
d
(2 - x2)(x4 - 5)
dx
Solution:
Here
f(x) =
2 - x2
and
g(x) =
x4 - 5
The product rule gives
d
(2 - x2)(x4 - 5)
= (2 - x2)(4x3) +
(-2x)(x4 - 5)
dx
The Quotient Rule
Remember the poem
"lo d hi minus hi d lo square the bottom and away you go"
This poem is the mnemonic for the taking the derivative of a quotient.
Example:
Find y' if
2x - 1
y' =
x + 1
Solution:
Here
f(x) = 2x - 1
and
g(x) = x + 1
The quotient rule gives
(x + 1)(2) - (2x - 1)(1)
(x + 1)2
2x + 2 - 2x + 1
=
(x + 1)2
3
=
(x + 1)2
Other Derivative Sites
Visual
Calculus
Karl's Calculus
CyberCalc
Derivatives
Eric
Weisstein's Calculus
Dr.
Sloan's Calculus
Product
Rule Problems and Solutions
Quotient
Rule Problems and Solutions
Product
Rule by Harvey Mudd
Quotient
Rule by Harvey Mudd
Back to
Math 105 Home Page
e-mail Questions and
Suggestions
|