| 
 
Induction
 
 
 
  - 
    
Evaluating a Series
    
      
    If we have a finite series there are two ways of evaluating it.  The
first way is computation by hand.  
    
   
Example:   
 
            Sn = 15
    (2n-1)  
 
 is 
 
            1 + 3 + 5 + 7 + 9 = 25.   
 
    Notice that we just plugged in the values 1,2,3,4, and 5 for n and added
up the results.   
  
Example:   
 
            Sn=2100
    (1/n) 
 
    You can try this by hand, but you will become very bored and discouraged
as you find out that you need to add up 100 numbers.  Instead we use
our calculator: 
 
            sum seq(1/x,x,2,100,1) = 4.187 
 
    we find the  sum and  seq features under
 Math -> Misc.  sum means
that we are adding up the terms,  seq means that it is a sequence,
 1/x is
our function,  x is our variable, 2 is where we start, 100 is where we stop,
and 1 means that we are not skipping numbers. 
 
    
  - 
Mathematical Induction
 
 
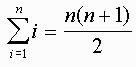
Suppose that we want to find   
 
        Si = 1100(i) 
 
We can pair
the first and last terms to get  
 
        1 + 100 =
101  
 
 then pair the second and penultimate
term to get  
 
        2 + 99 + 101  
 
 again.  We can do this repeatedly until we arrive at
the 50th and 51st terms to get 101.  in all we have  
 
        101(100)/2
 
We can conjecture that for any n,
 
       
     
 
 
To prove this we use  mathematical induction which means the following:
 
If the theorem is true for the first one and if the theorem is true for the
next one given the truth of the preceding one, then the theorem is true for
all n.
 
 
 
The steps for using induction are as follows:
 
 
     
      - 
Plug in  n = 1 and verify the theorem. 
        
      - 
We write:  Assume that the theorem is true for  n = k
-1.
 Plug in k - 1 for  n and write down the statement. 
        
      - 
Write down the statement of the theorem for  n = k by plugging in
k for n. 
        
      - 
Do some algebra or logic to write what you have in 3) as a part
with the statement from 2 and other stuff. 
        
      - 
Use the theorem for  n = k - 1 to rewrite your expression from part
4. 
        
      - 
Do more algebra to write the conclusion of the theorem for  n = k 
        
      - 
Write:  "By induction we can conclude that the theorem is true."  
     
 
 
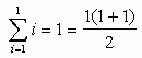
For our example,  we follow our steps:
 
 
     
      - 
    which checks. 
        
      - 
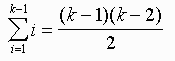
Assume that the theorem is true for  n = k -1. 
Then
 
 
 
        
      - 
We write  S i = 1k (
i) 
 
        
      - 
 
 
 
        
      - 
 
  =  k + (k - 1)(k)/2 
        
      - 
= 2k/2 (k2 - k)/2 = (k2 + k)/2  =
k(k + 1)/2 
        
      - 
"By induction we can conclude that the theorem is true."  
     
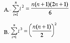
Exercise: Show that 
 
 
 
   
  - 
Second Principle of Mathematical Induction 
 
To prove a theorem using induction, it is ok to assume that the theorem is
true for all 
 
        n < k
 
 
 
Exercise
 
 
     
and let un be the nth Fibonacci number, prove that 
     
 
     
      - 
  For  n = 2, we have 
         
which checks
 
   
      - 
Now assume that the theorem is true for  n = k - 1, then 
         
       
     
 
     
      - 
We have   uk 
        
      - 
          =  uuk - 1 
 
  
      - 
        
          
            |           
              = | 
            
             | 
            
             | 
            
  = | 
            
  
    | un + un-1 | 
    un | 
   
  
    | un-1 + un-2 | 
    un-1 | 
   
 
             | 
             | 
           
         
   
      - 
        
   
      - 
"By induction we can conclude that the theorem is true." 
        
     
Bonus Exercise:  The birthday paradox?
 
What is wrong with this use of induction?
 
Theorem?:  For any group of people in a room they will all have
the same birthday.
 
Proof by induction?:  Assume that for any k - 1 people in a room
that they all have the same birthday.   For n = 1 the theorem is obviously
true.   Now suppose that are k people in a room.  Send one
person out.  Now there are k - 1 people left in the room, so by the
induction hypothesis they all have the same birthday.  Send the person
back in and send a different person out.  Again there are k - 1 people
in the room, so they all have the same birthday.  Since the first person
that was sent out has the same birthday as the rest of the group and so does
the second person, everyone has the same person.  Hence by induction,
the theorem is true. 
    
 
  
 
 
Back to the College Algebra Part II (Math 103B) Site
 
Back to the LTCC Math Department Page
 
e-mail Questions and
Suggestions
   
 |