Moments and Centroids

Mass and Slugs

Newton's Law states that


 F = ma

where F is the force, m is the mass, and a is the acceleration.  In the US system, Force is measured in pounds and mass is measures in slugs.  

Example:  

I weigh 165 lbs.  What is my mass?

Solution:  

Since weight corresponds with gravitational force, and the acceleration of gravity is 32 ft/sec2 we have

        165 = 32m

or 

        m = 5.15 slugs.

In the metric system, kg is a mass unit and Newtons is a weight unit.


 

Moments and Center of Mass for Discrete Mass Points

Suppose that we have a teeter totter and a 10 kg child is on the left 5 meters from the center of the teeter totter and a 15 kg child is on the right 4 meters from the center of the teeter totter.  We define the moment as:

        10(-5) + 15(4) = 10

In general, we define the moment for masses mi  at the points xi  to be

        Moment = S mi xi

If the moment is 0 then we say that the system is in equilibrium.  Otherwise, let x be the value such that 

        S mi (xi - x) = 0

Then x is called the center of mass of the system.

         Theorem

  x = moment/total mass

 

Proof:  

 

       

so that 

       

 

Example:  

Find the center of mass of the teeter totter.


Solution

We have 

        moment = 10 

and

        total mass = 25

hence the

        center of mass  =  10/25  =  0.4

We can say that if the center of the teeter totter was 0.4 meters from the current center, then the children would be in balance.

For points in the plane, we can find moments and centers of mass coordinate wise.  We define:


mx = moment about the x axis =  S mi xi

my = moment about the y axis =  S mi yi

Center of Mass = (my/m, mx/m)              


Example:  

For the points (-3,0) with mass 4, (2,2) with mass 3, and (1,-2) with mass 1 we have

        mx = (4)(-3) + (3)(2) + (1)(1) = -5

        my = (4)(0) + (3)(2) + (1)(-2) = 8

        Center of Mass = (-5/8,8/8) = (-0.625,1)


Center of Mass for a Two Dimensional Plate

First, we recall that for a region of density r bounded by f(x) and g(x)


Mass = (Density)(Area) =

Mx =

My =

 


and   

 


 


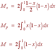
Example


Find the center of mass for the plate of constant density 2 that is bounded by the curves

         y = 1 - x,     y = 0     and     x = 0

We have

       


Pappus Theorem

Suppose that we revolve a region around the y-axis.  Then the volume of revolution is:

        V = 2prA 

where A is the area of the region and r is the distance from the centroid (constant density) to the axis of rotation.

Example

Suppose that we revolve the 4 x 4 frame with width 1 centered about (6,2) about the y-axis.  Then we have that the Area is

        A = 4 + 4 + 2 + 2 = 12

        R = 7 

so that

        V = 2p7(12) = 168p

 

Exercise

Find the volume of the torus formed by revolving the disk

        (x - 11)2 + y2 = 4 

about the y-axis.

 



Back to Math 105 Home Page

Back to the Math Department Home

e-mail Questions and Suggestions