MATH 106 PRACTICE FINAL

Please work out each of the given problems.  Credit will be based on the steps that you show towards the final answer.  Show your work.

 

PROBLEM 1 

Evaluate the given integrals, derivatives and limits.

A)   (20 Points)   

 Solution

We integrate by parts with

        u  =  tan-1(2x)               dv  =  dx
                        2
        du  =                dx           v  =  x
                   1 + 4x2 

The integral becomes

       

                  u  =  1 + 4x2     du   =  8xdx

 

        =  x tan-1(2x)  - 1/4 ln|1 + 4x2| + C

 

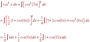
B)    (20 Points)   

Solution

 

          

          

 

        =  1/4 x + 1/12 sin(6x) + 1/8 x + 1/96 sin(12x) + C

 

C)   (20 Points)

Solution

                 18                      18                   A            Bx + C            
                           =                        =            +                                                  
        x3 + 9x               x(x2 + 9)             x            x2 + 9

        A(x2 + 9) + (Bx +C)x  =  18
 
  x = 0:    9A  =  18    A  =  2

so

        2x2 + 18 + Bx2 + Cx  =  18

Equating coefficients

        2 + B  =  0    and     C  =  0

so

        B  =  0

Now integrate

              u = x2 + 9    du  =  2x dx

        =  2ln|x| - ln|x2 + 9| + C

 

D)   (20 Points)    

Solution

This integral can be done with basic u-substitution

        u  =  4x2 + 25        du  =  8xdx

The integral becomes

        =   3/4 u1/2  =  3/4 (4x2 + 25) + C

 

E)    (20 Points)     

Solution

Use integration by parts for this one.

        u  =  ln x          dv  =  x3 + 4 dx
  du  =  1/x dx     v  =  1/4 x4 + 4x

We have

       

        =  (ln x) (1/4 x3 + 4x) - 1/16 x4 - 4x + C

F)    (20 Points)     

Solution

We can use trig substitution with 

        x  =  tan q    dx  =  sec2q dq     

             

Now integrate

       

           =  ln|sec q +tan q| + C

Now re-substitute to get

       

       

         

G)   (20 Points) 

Solution

       

H)   (20 Points)     

Solution

Use the definition of an improper integral and integrate by parts

        u  =  x        dv  =  e-xdx

        du  =  dx       v  =  -e-x 

        L'Hopital


PROBLEM 2

Set up the integrals that solve the following problems.  Sketch the appropriate diagram for each. Use a calculator to evaluate the integral.

A)   (15 Points)  Find the volume of solid that is formed by revolving the region bounded by y  =  x2 - 4x and y  =  2x - 5 around the y-axis.

Solution

We draw a cross section perpendicular to the x-axis.  This produces a cylinder.

We have

        A  =  2prh        r  =  x        h  =  (2x-5) - (x2 - 4x)  =  -x2+ 6x - 5

To find the limits, we set the equations equal to each other

         x2 - 4x    =  2x - 5     

or    

        x2 - 6x + 5  =  0

        (x-5)(x-1)  =  0        

        x  =  1  or x  =  5

The volume is

       

 

         

B)    (15Points)  Find the volume of the solid that is formed by revolving the region bounded by y  =  x2 + 1 and y  =  5  around the line y  =  10 .

Solution

We draw a cross section perpendicular to the x-axis.  We have

        A  =  p(R2 - r2)   

        R  =  10 - (x2 + 1)  =  9 - x2 

        r  =  10 - 5  =  5

        Set the equations equal to each other

        x2 + 1  =  5        x  =  -2  or    x  =  2

Now integrate

       

 

        

 

PROBLEM 3 (30 Points)

A force of 80 Newtons stretches a spring 70 centimeters on a mechanical device for driving fence posts.  Find the work done in stretching the spring the required 70 centimeters.

Solution

Use Hook's law

        80  =  70k        k  =  8/7

Now the work is the integral of the force times the distance 

       

      

PROBLEM 4  (11 Points Each)

In 1960 the world population reached 3 billion people and in 1999 the population reached 6 billion people.

  1. Write down the differential equation that reflects that the rate of population growth is proportional to the population.
    dP / dt  =  kP

  2. Solve this differential equation and use your solution to predict the population in the year 2050.




    ln P  =  k1t + C1

    P  =  Cekt

    C  =  3

    6  =  3e39k

    k  =  0.01777

    Now plug in t  =  90

    P  =  3e90(0.01777)  =  14.84

  3. It has been said, “It's the top of the ninth and humanity has been hitting nature hard. But we must always remember that nature bats last."  In particular environmentalists have warned that the carrying capacity of the earth is 10 billion people.  With this in mind it is better to use the model that the growth in population is proportional to the product of the population and 10 billion minus the population.  Write down a differential equation that reflects this statement.

    Solution

    dP/dt  =  kP(10 - P)

  4. Solve this differential equation and use your solution to predict the population in the year 2050.

    Solution

    =  k1t + C1

    1/10 ln P  -  1/10 ln10 - P  =  k1t + C1

    ln P  -  ln(10 - P)  =  kt + C

    ln 3  -  ln(10 - 3)  =  k(0) + C

    C  =  ln(7/3)  =  0.8473

    ln 6  -  ln(10 - 6)  =  k(39) + 0.8473

    k  =  -0.1133

    Plug in 90 for t and find PP is about 10.  So the population will just about reach its carrying capacity of ten billion people.


 

PROBLEM 5 (31 Points)  Let f(x)  =  x3 + x + 4

  1. Prove that f(x) has an inverse function.

    Solution

    We use the theorem that tell us that if f(x) is monotonic then the inverse exists.  We have 

            f '(x)  =  3x2 + 1

    Which is always positive, hence f(x) is monotonically increasing.  Therefore f has an inverse.

  2. Let g(x)  be the inverse of f(x).  Find g'(4) .
    Solution
    We use the formula 

                                1
            g '(4)  =                      
                              f '(g(4))

    We find g(4) by setting f(x) equal to 4:

            4  =  x3 + x + 4

            x3 + x  =  0            x(x2 + 1)  =  0

    Hence x  =  0.  Now calculate

            f '(0)  =  3(0)2 + 1  =  1

    Finally

                            1
            g '(4)  =           =  1
                             1

            

 

PROBLEM 6 

Please answer the following true or false.  If true, provide an explanation.  If false provide an explanation or counter-example.

A.     (15 Points)  If f(x) is a continuous positive function then the surface area generated by revolving the curve y  =  f(x) for 0 < x < 1  about the x-axis is equal to the surface area generated by revolving the curve y  =  f(x) + 1 for0 < x < 1 about the x-axis

Solution:

False,  when using frostrums, the radius for the first case is f(x) and the radius for the second case is one more than that.

B.     (15 Points)  An aquarium has two exhibits each with vertical windows of the same area such that the bottoms are at the same depth and the tops are at the same depth.  Then even though the shapes of the two windows may be different, the fluid forces exerted on the windows are equal.



Solution

        False,  if the first window has most of its area at the top part of the window, it will have a smaller fluid force exerted on it then a window with most of the area at the bottom part.  



 


Back to the Math Department Home Page

Questions, Comments and Suggestions:  Email:  greenl@ltcc.edu