Fluid Force

Fluid Pressure (Definition)

We define the fluid pressure P to be equal to the weight density w times the depth of the fluid h.  

P = wh



Pascal's Principle

The pressure is equal in all directions

Since 

                              force
        Pressure  =                  
                              area 

we have 

F = PA




Force on a Submerged Rectangular Sheet


Example

Suppose that a glass sheet lies parallel to and five feet below the surface of a lake has dimensions 2 by 3. Then the total pressure on the sheet is

        P = wh = (62.4)(5) = 312

The total force on the plate is

        PA = (312)(6) = 1872


 

Force on a Vertical Surface

Example

A 3 x 2 square window on the new Disney Cruise liner is to be built so that top of the window is four feet below the surface of the water.  What total force will the window be subjected to?  

Solution

We take horizontal cross sections.  Letting y be the distance from the top of the window to the cross section, we have

        DF  =  62.4(4 + y)(D A)  =  62.4(4 + y)(3)(Dy)

Hence the total force is

           

            =  1123.2 pounds

In general:  



Example

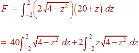
A radius 2 feet circular portal is vertically submerged so that its center is 20 feet below the surface of the water.  Find the total force of the water on the portal. 


Solution

We write s in terms of z by the Pythagorean theorem:

       

This horizontal cross-section has area

        DA = 2sDz

The depth at this cross-section is 

        h = 20 + z

We put this all together to find the force

       

We recognize the first integral as the area of the semi-circle of radius 2.  For the second integral, let

        u = 4 - z2     du = -2zdz

Notice that when z = -2, u = 0 and when z = 2, u = 0 also.  Any integral with lower and upper limits the same is always zero.  Hence the force is 

        F = 40p22 + 0 = 160p

Exercise:

In the VIP suite, the glass window is in the shape of an equilateral triangle with diagonal length 2 such that the top of the triangle is submerged 5 feet below the water.  What total force will this window be subjected to? 

 



Back to Math 105 Home Page

Back to the Math Department Home

e-mail Questions and Suggestions