|
Cylindrical Shells
Cylindrical Shells
Consider rotating the region between the curve
y = x2
the
line
x = 2
and the x-axis about the y-axis.
If instead of taking a
cross section perpendicular to the y-axis, we take a cross section perpendicular
to the x-axis, and revolve it about the y-axis, we get a cylinder. Recall
that the area of a cylinder is given by:
where r is the radius of the cylinder and h is the height of the cylinder.
We can see that the radius is the x coordinate of the point on the
curve, and the height is the y coordinate of the curve. Hence
A(x)
= 2pxy = 2px(x2)
Therefore the volume is given by

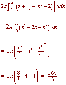
Example:
Find the volume of revolution of the region bounded
by the curves 
y = x2 + 2,
y = x + 4, and the y-axis
about the y
axis.
Solution:
We draw the picture with a cross section perpendicular to the x-axis. The
radius of the cylinder is x and the height is the difference of the
y
coordinates:
h = (x + 4) - (x2 +
2)
We solve for b.
(x + 4) = (x2 +
2)
x2 - x - 2 = 0
(x - 2)(x + 1) =
0
So that b = 2. Hence the
volume is equal to
Exercises
Find the volume of the solid formed by revolving the given region about the
given line
-
y = x2 - 3x + 2, y = 0 about the y-axis
-
y = x2 -
7x + 6, y = 0 about the y-axis
-
x = 1 - y2 , x = 0
(first quadrant)
about the x-axis
-
y = xsqrt(1 + x3), y = 0, x =
2
about the y-axis
-
(x - 1)2 + y2 = 1 about the y-axis
-
x2 + (y - 1)2 = 1 about the x-axis
-
y = x2 - 2x
+ 1, y = 1 about the line x = 3
Answers
Back
to Area and Volume Page
Back
to Math 106 Home Page
Back to the Math
Department Home
e-mail
Questions and Suggestions
|