Discs and Washers

Volumes of Revolution

Suppose you wanted to make a clay vase.  It is made by shaping the clay into a curve and spinning it along an axis.  If we want to determine how much water it will hold, we can consider the cross sections that are perpendicular to the axis of rotation, and add up all the volumes of the small cross sections.  We have the following definition:


where A(x) is the area the cross section at a point x.


Example:  Disks

Find the volume of the solid that is produced when the region bounded by the curve 

        y = x2,    y = 0,   and   x = 2 

is revolved around the x-axis.

Solution:

Since we are revolving around the x-axis, we have that the cross section is in the shape of a disk with radius equal to the y-coordinate of the point.  Hence 

        A(x) = pr2 = p[x2]2

We have

       

           


 

Example:  Washers

Find the volume of the solid formed be revolving the region between the curves 

y = x2   and   y = root(x)
 

about the x-axis.


Solution

We draw the picture and revolve a cross section about the x-axis and come up with a washer.  The area of the Washer is equal to the area of the outer disk minus the area of the inner disk.  

A = p(R2 - r2)


We have that R is the y-coordinate of the top curve () and r is the y-coordinate of the bottom curve (x2).  We have

         A = p([]2 - [x2]2) = p[x - x4]

Hence




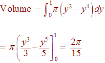
Example:  Revolving about the y-axis

Find the volume of the solid that is formed by revolving the curve bounded by 

        y = x and y =  

about the y-axis.  This time our cross section is perpendicular to the y-axis.  When we revolve, we get a washer with R equal to the x-coordinate of the y = curve and r equal to the x-coordinate of the y = x curve.  Hence

        A = p((y)2 - (y2)2) = p(y2 - y4)

We get       

       

 


Revolving About a Non-axis Line

Find the volume of the region formed by revolving the curve 

        y  =  x3          0  <  x  <  2 

about the line y  =  -2.

Solution: 

This time we revolve the cross-section and obtain a disk.  The radius of the disk is 2 plus the y coordinate of the curve.  Hence

        A = p(2 + x3)2 

so that

       

This integral can be evaluated by FOILing out the binomial and then integrating each monomial.  We get a value of approximately 133.


 

Example:

Try revolving the curve 

        y = x2 from 0 to

about the line x = 5

We have

        A = p[(5 - )2 - 9]

so that

       

This integral works out to be approximately 59.



Applications of Volume

Example:  The Volume of the Khufu Pyramid

The base of the Khufu pyramid is a square with wide length 736 feet and the angle that the base makes with the ground is 50.8597 degrees.  Find the volume of the Khufu pyramid.


Solution:
 

First note that we need to change to radian measure.  

        50.8597 degrees = .88767 radians.  

The height of the pyramid is 

        736 tan(.88767) = 904.348

We have that the area of a cross section is s2 where s is the side length of the square.  

Placing the y-axis through the top of the pyramid and the origin at the middle of the base, we have that 

        s = x

Hence 

        A(x) = 2x2

Since the axis perpendicular to the cross sections is the y-axis, we need A in terms of y.    

We set up similar triangles:

        x/736 = y/904.348

        x = .8138y

Hence 

        A(y) = 1.3247x2

We calculate

       

        = 361131 cubic feet.


Example:  Volume of a Sphere

A sphere is formed by rotation the curve

       

We have

Volume =

       

       

Exercise:  

Two cylinders of radius r intersect each other at right angles.  Find the volume of their intersection.

Hint:  Consider cross sections parallel to both axes of rotation.  These cross sections are squares.  Then show that the side length is 

  

Click here for the cored sphere

 



Back to Area and Volume Page

Back to Math 106 Home Page

Back to the Math Department Home

e-mail Questions and Suggestions