The Definite Integral

The Monte Carlo Method For Finding Area

Activity

Pick four number from one to 100.  Instead of cutting the interval [0,100] into five equal intervals, you can instead cut the interval at the four numbers that you chose and construct five rectangles as before.  We will approximate the area of the curve under the curve y = from 1 to 100 to estimate the area. 
 


The Definite Integral

Definition

Let 

          a  =  x0,  x1,  ..., xn  =  b 

be a partition of [a,b] and let    

          xi-1  <   ci  <   xi  

then
         

is called a Reimann Sum, and the limit as the maximum Dxi  approaches 0 is called the definite integral.  

 


Note:
 f(x) can be negative

Usually to compute a definite integral, we use left or right sums.

 



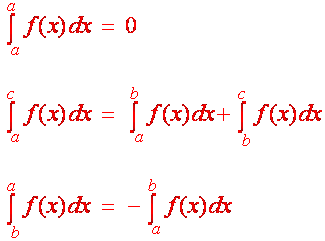
Special Cases



Example:

 



 

Back to Math 105 Home Page

e-mail Questions and Suggestions