Limits (Algebraically)

Limits Infinities and Zeros

It is useful to have the following symbolic fractions when dealing with limits.  Note that infinity means positive or negative infinity.

  1.      infinity
                         =   infinity
          finite 

  2.               0
                                     =   0
          finite nonzero 

  3.      finite
                         =  0
        infinity 

  4.     finite nonzero
                                  =   infinity
                0  

  5.      infinity
                         =  Do Algebra
         infinity 

  6.     0
                 =   Do Algebra
        0 

 



Example:












  1. The algebra that we can do is factoring.  We factor to get

             




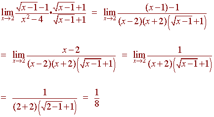
  2. We rationalize the denominator by multiplying by the conjugate root:

             

    Calculate:





Exercises

Evaluate the following limits or state that they do not exist.

  1.    
     







 

Limits and Trigonometry

Use your calculator to graph 

                    sin x
        y  =                  
                      x

and discover that

    



Corollary:

    



Proof of the corrolary:

       

Bye the first theorem, the first fraction approaches 1 as x approaches 0.  The second fraction evaluates to zero, hence the total expression is 0.

Applications:  




  1.    


  2.    

    We set 

            u = 2x 

    then as x goes to zero so does u.  we have 

            x = u/2 

    substituting we get




Exercise

Find

        


The Squeeze Theorem

The squeeze theorem says that if a function  f is between two functions that have the same limit, then f has that limit also.

           The Squeeze Theorem

Let 

          h < f < g  

in an open interval containing c, except possibly at c.  If

           
then

         

 




Application


Show that 

       

Proof:  

We have

        -x  <  xsin(1/x)  x    for all   x

Since 

        

the squeeze theorem tells us that

       

Another example of the squeeze theorem is here.



 

 

Other Sites About Limits

Karl's Calculus

Visual Calculus

Ohio State Calculus

Weisstein's World of Mathematics

Dr. Sloanes Calculus 

 


Back to Math 105 Home Page

e-mail Questions and Suggestions