Area

Area of a Rectangle and Using Rectangles to Approximate Area Under a Curve

Recall that the area of a rectangle is the height times the base.  What if we wanted to paint a wall that has a ceiling the shape of y = x2 , a flat floor and a right wall at x = 2 yards and a left wall at x = 5 yards.


 We can approximate the area by cutting out 6 rectangles.  Since the base of the wall is 5 - 2 yards long, and there are 6 rectangles, the base of each rectangle is (5 - 2)/6 = .5 yards.  The height of each rectangle is the y-coordinate of the left side of each rectangle.  The x- coordinates are

        2 + 0(.5),    2 + 1(.5),     2 + 2(.5),     2 + 3(.5),     2 + 4(.5),     2 + 5(.5) 

so that the y coordinates are

        (2 + 0(.5))2    ,(2 + 1(.5))2    , (2 + 2(.5))2    , (2 + 3(.5))2    , (2 + 4(.5))2    , (2 + 5(.5))2

We see that the ith rectangle has y coordinate:

        height = (2 + i(.5))2 = 4 + 2i + .25i2

To get the area of the ith rectangle we multiply the height by the base:

        (4 + 2i + .25i2)(.5)

Finally to get the total area we add the terms up:

        S[(4 + 2i + .25i2)(.5)]

This will be a lower bound for the area. 
 

Exercise:   

Find an upper bound for the area.


 

Left and Right Sums

If we take the limit as i approaches infinity, We arrive at the formulae:

Left Sum


Right Sum


Note:
 f(x) can be negative

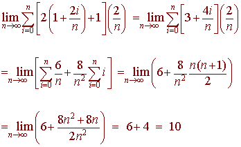
Usually to compute a definite integral, we use left or right sums.

Example

Use the right sum to find 

       

Solution: 

The right sum is

       



Back to Math 105 Home Page

e-mail Questions and Suggestions