Solve

           

 

Solution

Let

           

then

                  and      

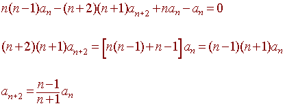
We can write the differential equation as

                       

Substituting back into this differential equation and multiplying the x2 through gives

           

 

We next need to make the second term has the nth power of x instead of n-2.  For this term, we let

            u  =  n – 2,   n  =  u + 2

The second term becomes

           

now changing this back to n and placing the term back into the differential equation gives

           

           

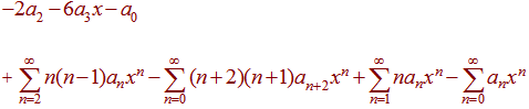
Since they sums do not all start at the same number, we pull out the n = 0 and n = 1 terms to get

       

or

       

 

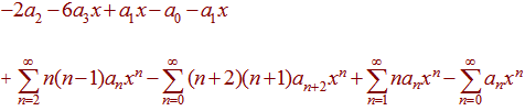
We can now combine the series to get

        -2a2 - 6a3x - a0

       

We are looking for two linearly independent solutions, so we let the first one be such that

        y(0)  =  0     y’(0)  =  1

 

this implies that

        a0  =  0            and       a1  =  1

 

from our last equation we have

    0  =  -2a2  – a0  =  -2a2

or

     a2  =  0

We also have

       0  =   - 6a3

or

      a3  =  0

The terms from the series must all be zero, since that is what it means for a polynomial to be zero.  Hence

       

Notice that since

        a2  =  a3  =  0

All of the rest of the coefficients must be zero, since they are each a multiple of the coefficient two before them.  Therefore the first linear independent solution is

        y1  =  x

 

For the second linearly independent solution, we let

        y(0)  =  1     y’(0)  =  0

 

this implies that

        a0  =  1         and       a1  =  0

from our last equation we have

        1  =  -2a2 – a0  =  -2a2 - 1

or

       a2  =  -1

We also have

       0  =  -6a3  

or

         a3  =  0

we still have

       

so notice that the odd terms are all zero.  For the even terms, we have

 

       

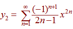
This one has the series representation

       

Back to Series Solution Page