|
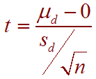
Paired Differences Paired Data: Hypothesis Tests Is success determined by genetics? The best such survey is one that investigates identical twins who have been reared in two different environments, one that is nurturing and one that is non-nurturing. We could measure the difference in high school GPAs between each pair. This is better than just pooling each group individually. Our hypotheses are Ho: md = 0 H1: md > 0 where md is the mean of the differences between the matched pairs.
We use the test statistic
where sd is the standard deviation of the differences. We use n - 1 degrees of freedom, where n is the number of pairs.
Paired Differences: Confidence Intervals
To construct a confidence interval for the difference of the means we use:
Example Suppose that ten identical twins were reared apart and the mean difference between the high school GPA of the twin brought up in wealth and the twin brought up in poverty was 0.07. If the standard deviation of the differences was 0.5, find a 95% confidence interval for the difference. Assume the distribution of GPA's is approximately normal.
Solution We compute
or [-0.29, 0.43] We are 95% confident that the mean difference in GPA is between -0.29 and 0.43. Notice that 0 falls in this interval, hence we would fail to reject the null hypothesis at the 0.05 level.
Back to the Hypothesis Testing Home Page Back to the Elementary Statistics (Math 201) Home Page Back to the Math Department Home Page e-mail Questions and Suggestions
|