Suppose you want to construct a 95% confidence interval for the mean age that people have their wisdom teeth removed.  If you know that the standard deviation is 1.8 and you want a margin of error of no more than plus or minus 0.2 years, at least how many people must you survey?


Solution

We use the formula:

n=(z sigma / E)^2

Now write down the cast of characters:

s = 1.8

E = 0.2

c = 0.95

z = 1.96

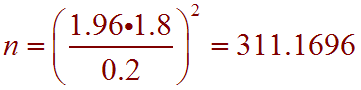
Plug in to get

n=(1.96*1.8/0.2)^2 = 311.1696

Next note that we can't survey a fractional number of people.  For sample size calculations we always round up.  We can conclude that in order to construct this 95% confidence interval with a margin of error of no more than plus or minus 0.2 years we need to survey at least 312 people.

Back to the handout