MATH
106
PRACTICE FINAL
Please work out each of the given problems.
Credit will be based on the steps that you show towards the final answer.
Show your work.
Printable
PROBLEM 1
Without using hyperbolic functions, evaluate the given integrals, derivatives and limits.
A)
(20 Points)
We integrate by parts with
u = tan-1(2x)
dv = dx
1
du =
dx v = x
1 + x2
The integral becomes
u = 1 +
4x2 du =
8xdx
= x tan-1(2x) - 1/4 ln|1 + 4x2| + C
B)
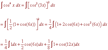
(20 Points) ![]()

= 1/4 x + 1/12 sin(6x) + 1/8 x + 1/96 sin(12x) + C
C)
(20 Points)
=
=
+
x3 +
9x
x(x2 +
9) x x2 + 9
A(x2 + 9) + (Bx +C)x = 18
x = 0: 9A =
18 A = 2
so
2x2 + 18 + Bx2 + Cx = 18
Equating coefficients
2 + B = 0 and C = 0
so
B = 0
Now integrate
u = x2 + 9
du =
2x dx
= 2ln|x| - ln|x2 + 9| + C
D)
(20 Points)
This integral can be done with basic u-substitution
u = 4x2 + 25 du = 8xdx
The integral becomes
=
3/4
u1/2 = 3/4 (4x2 + 25) + C
E)
(20 Points)
Use integration by parts for this one.
u = ln x dv
= x3 + 4 dx
du = 1/x dx v = 1/4 x4
+ 4x
We have
![]()
= (ln x) (1/4 x3 + 4x) - 1/16 x4 - 4x + C
F)
(20 Points)
We can use trig substitution with
x = tan q
dx = sec2q
dq
Now integrate
= ln|sec q +tan q| + C
Now re-substitute to get
G)
(20 Points)
H)
(20 Points)
Use the definition of an improper integral and integrate by parts
u = x dv = e-xdx
du = dx v = -e-x
L'Hopital
PROBLEM 2
Set up the integrals that solve the following problems. Sketch the appropriate diagram for each. Use a calculator to evaluate the integral.
A) (15 Points) Find the volume of solid that is formed by revolving the region bounded by y = x2 - 4x and y = 2x - 5 around the y-axis.
We draw a cross section perpendicular to the x-axis. This produces a cylinder.
We have
A = 2prh r = x h = (2x-5) - (x2 - 4x) = -x2+ 6x - 5
To
find the limits, we set the equations equal to each other
x2 - 4x = 2x - 5
or
x2 - 6x + 5 = 0
(x-5)(x-1) = 0
x = 1 or x = 5
The volume is

B) (15Points) Find the volume of the solid that is formed by revolving the region bounded by y = x2 + 1 and y = 5 around the line y = 10 .
We
draw a cross section perpendicular to the x-axis. We have
A = p(R2 - r2)
R = 10 - (x2 + 1) = 9 - x2
r = 10 - 5 = 5
Set the equations equal to each other
x2 + 1 = 5 x = -2 or x = 2
Now integrate
![]()
PROBLEM 3
(30 Points)
A force of 80 Newtons stretches a spring 70 centimeters on a mechanical device for driving fence posts. Find the work done in stretching the spring the required 70 centimeters.
SolutionUse Hook's law
80 = 70k k = 8/7
Now the work is the integral of the force times the distance
PROBLEM 4 (11 Points Each)
In 1960 the world population reached 3 billion people and in 1999 the population reached 6 billion people.
Write down the differential
equation that reflects that the rate of population growth is proportional to
the population.
Solution
dP/dt = kP
P(0) = 3 P(39) = 6
Solve this differential equation and
use your solution to predict the population in the year 2050.
Solution
Separate and integrate
ln P = kt + C1
P = Cekt
Plugging in the initial value gives C =
3
Plugging in (39,6) gives
6 = 3e39k
k = 1/39 ln3
So that
P = 3e1/39 ln2
= 14.84
It has been said, “It's the top of
the ninth and humanity has been hitting nature hard. But we must always
remember that nature bats last." In
particular environmentalists have warned that the carrying capacity of the
earth is 10 billion people. With
this in mind it is better to use the model that the growth in population is
proportional to the product of the population and 10 billion minus the
population. Write down a
differential equation that reflects this statement.
Solution
dP/dt = kP(10 - P)
Solve this differential equation
and use your solution to predict the population in the year 2050.
Solution
Separate and then perform partial fractions
1
A
B
=
+
P(10 -
P)
P 10 - P
A(10 - P) + BP = 1
Let P = 10: 10B =
1 B
= 1/10
Let P = 0:
10A = 1
A = 1/10
Now integrate (for the second integral let u
= 10 - P, du = -dP)
= 1/10 ln P - 1/10 ln(10
- P) = k1t + C1
ln P - ln(10 - P) = kt +
C
Putting in the initial values gives
ln3 - ln7 =
C C = ln 3/7 = -0.85
ln 6 - ln 4 = 39k + ln
3/7 k = 0.86
For 2050, t = 90
ln P - ln(10 - P) =
.86(90) + -.85 = 76.6
P/(10 - P) = e76.6
Plug in 90 for
t and find P.
P is about 10. So
the population will just about reach its carrying capacity of ten billion
people.
PROBLEM 5 (31 Points)
Consider the integral
Use the trapezoidal rule with n = 4 to
approximate this integral and sketch the indicated area and trapezoids.
x0 = 1 x1 = 1.5 x2 = 2 x3 = 2.5 x4 = 3
f(1) = 3.9 f(1.5) = 3.7 f(2) = 3.5 f(2.5) = 3.1 f(3) = 2.6
and
Dx = (3 - 1)/8 = 0.25
Now use the trapezoid formula:
0.25[3.9 + 2(3.7) + 2(3.5) + 2(3.1) + 2.6] = 6.775

Let f(x) = x3 + x + 4
Prove that f(x)
has an inverse function.
Solution
We
use the theorem that tell us that if f(x) is
monotonic then the inverse exists. We have
f '(x)
= 3x2 + 1
Which is always positive, hence f(x) is monotonically increasing.
Therefore f has an inverse.
Let g(x)
be the inverse of
f(x). Find
g'(4)
.
Solution
We
use the formula
1
g '(4) =
f '(g(4))
We find g(4) by setting f(x)
equal to 4:
4 =
x3 + x + 4
x3
+ x = 0
x(x2 + 1) = 0
Hence x = 0. Now calculate
f '(0)
= 3(0)2 + 1 = 1
Finally
1
g '(4) =
= 1
1
PROBLEM
6
Please
answer the following true or false. If
true, provide an explanation. If
false provide an explanation or counter-example.
A.
(15 Points) If f(x)
is a continuous positive function then the surface area generated by revolving
the curve y = f(x)
for
0 < x < 1
about the x-axis is equal to the
surface area generated by revolving the curve y
= f(x) + 1 for0 < x < 1
about the x-axis
B.
(15 Points) An aquarium has
two exhibits each with vertical windows of the same area such that the bottoms
are at the same depth and the tops are at the same depth.
Then even though the shapes of the two windows may be different, the
fluid forces exerted on the windows are equal.
Back to the Math Department Home Page
Questions, Comments and Suggestions: Email: greenl@ltcc.edu