|
The Definite Integral
The Monte Carlo Method For Finding Area
Activity
Pick four number from one to 100. Instead of cutting the interval
[0,100] into five equal intervals, you can instead cut the interval
at the four numbers that you chose and construct five rectangles as
before. We will approximate the area
of the curve under the curve y =
from 1 to 100 to estimate the area.
The Definite Integral
|
Definition
Let
a
= x0, x1, ..., xn =
b
be a partition of [a,b] and let
xi-1 < ci <
xi
then
is called a Reimann Sum, and the limit as the maximum
Dxi
approaches 0 is called the definite integral.
|
Note: f(x) can be negative
Usually to compute a definite integral, we use left or right sums.
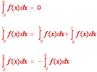
Special Cases
Example:
Back to
Math 105 Home Page
e-mail Questions and
Suggestions
|