|
Green's Theorem
A Little Topology Before stating the big theorem of the day, we first need to present a few topological ideas. Consider a closed curve C in R2 defined by r(t) = x(t)i + y(t)j a < t < b We say C is simple if it does not intersect itself. A curve intersects itself if r(u) = r(v) for two distinct values u and v. A circle is a simple curve while a figure eight is not simple. A region is called simply connected if it boundary is a single simple closed curve. Another way of thinking about simply connected regions is that their complement (the space minus the region) consists of only one piece. Below are examples of simply connected and non-simply connected regions. Our final topological definition is orientation. We have seen that if we traverse a curve in the opposite direction, then the line integral will be the negative of the original. We want to have a way to define a positive orientation. We define it as follows. Let R be a simply connected region with boundary curve C. Then C is called positively oriented if facing the direction that the curve is sketched, the region lies to the left of the curve. Otherwise the curve is said to be negatively oriented. One way to remember this is to recall that in the standard unit circle angles are measures counterclockwise, that is traveling around the circle you will see the center on your left. Green's Theorem We have seen that if a vector field F = Mi + Nj has the property that Nx - My = 0 then the line integral over any smooth closed curve is zero. What can we do if the above quantity is nonzero. Green's theorem states that the line integral is equal to the double integral of this quantity over the enclosed region. Precisely, we have
Sketch of the Proof First we can assume that the region is both vertically and horizontally simple. Otherwise we can carefully cut the region into parts so that each of the parts are both vertically simple and horizontally simple. Below is an example of such a cut. Notice that the line where the regions is cut is drawn once upwards and once downwards. Thus the two line integrals over this line will cancel each other out. We can assume that the region is as in the figure below We will show that
The proof for the M part is similar. We will compute both sides and show they are the same. First we break the curve into its left and right half. Call the left half C1 and the right half C2. We have
Now we show that the double integral leads to the same expression. We have
And the two expressions are equal.
Using Green's Theorem Example Determine the work done by the force field F = (x - xy) i + y2 j when a particle moves counterclockwise along the rectangle with vertices (0,0), (4,0), (4,6), and (0,6).
Solution We could do this with a line integral, but this would involve four parameterizations (one for each side of the rectangle). Instead, we use Green's Theorem. We find Nx - My = 0 - (-x) = x The region is just a rectangle, so the limits are the constants. We have
Example Calculate the line integral
Where C is the union of the unit circle centered at the origin oriented negatively and the circle of radius 2 centered at the origin oriented positively.
Solution We cannot use Green's Theorem directly, since the region is not simply connected. However, if we think of the region as being the union its left and right half, then we see that the extra cuts cancel each other out.
In this light we can use Green's Theorem on each piece. We have Nx - My = 1 - 0 = 1 Hence the line integral is just the double integral of 1, which is the area of the region. This area is p(22 - 12) = 4p
Green's Theorem and Area The example above showed that if Nx - My = 1 then the line integral gives the area of the enclosed region. There are three special vector fields, among many, where this equation holds. We state the following theorem which you should be easily able to prove using Green's Theorem.
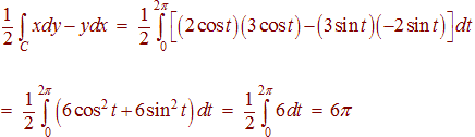
Example Use the third part of the area formula to find the area of the ellipse
x2 y2
Solution To compute the line integral, we parameterize the curve r(t) = 2 cos t i + 3 sin t j r'(t) = -2 sin t i + 3 cos t j We have
Back to the Vector Fields and Vector Integration Home Page Back to the Vector Calculus Home Page Back to the Math Department Home Page e-mail Questions and Suggestions
|