Triple Integrals in Cylindrical and Spherical Coordinates

 

Cylindrical Coordinates

When we were working with double integrals, we saw that it was often easier to convert to polar coordinates.  For triple integrals we have been introduced to three coordinate systems.  The rectangular coordinate system (x,y,z) is the system that we are used to.  The other two systems, cylindrical coordinates (r,q,z) and spherical coordinates (r,q,f) are the topic of this discussion.  

Recall that cylindrical coordinates are most appropriate when the expression 

        x2 + y2 

occurs.  The construction is just an extension of polar coordinates.  

        x  =  r cos q        y  =  r sin q        z  =  z

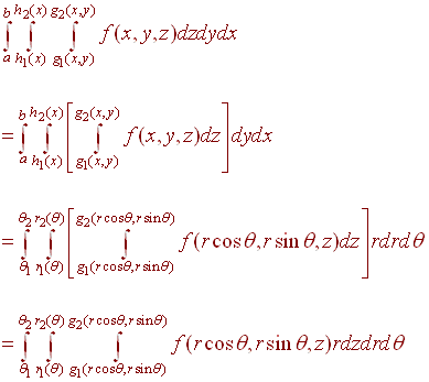
Since triple integration can be looked at as iterated integration we have

       

This leads us the the following theorem

 

Theorem:  Integration With Cylindrical Coordinates

Let f(x,y,z) be a continuous function on a solid Q.  Then 

         

 

Example

Find the moment of inertia about the z-axis of the solid that lies below the paraboloid 

        z  =  25 - x2 - y2 

inside the cylinder 

        x2 + y2  =  4

above the xy-plane, and has density function

        r(x,y,z)  =  x2 + y2 + 6z

           

Solution    

By the moment of inertia formula, we have

       

The region, being inside of a cylinder is ripe for cylindrical coordinates.  We get

       


Spherical Coordinates

Another coordinate system that often comes into use is the spherical coordinate system.  To review, the transformations are 

        x  =  r cosq sinf        y  =  r sinq sinf        z  =  r cosf  

In the next section we will show that 

        dzdydx  =  r2 sinf drdfdq  

This leads us to 

 

Theorem:  Integration With Spherical Coordinates

Let f(x,y,z) be a continuous function on a solid Q.  Then 

         

 

Example

Find the volume of solid that lies inside the sphere 

        x2 + y2 + z2  =  2

and outside of the cone

        z2  =  x2 + y2 

           

 

Solution

We convert to spherical coordinates.  The sphere becomes 

        r  = 

To convert the cone, we add z2 to both sides of the equation

        2z2  =  x2 + y2 +z2 

Now convert to

        2r2cos2f  =  r2 

Canceling the r2 and solving for f we get

        f  =  cos-1(1/)  =  p/4  or 7p/4  

In spherical coordinates (since the coordinates are p periodic)

        7p/4  =  3p/4

To find the volume we compute

       

       

 

Evaluating this integral should be routine at this point and is equal to 

                  8p
     V  =                  
                   3

 

Back to the Multiple Integration Home Page

Back to the Vector Calculus Home Page

Back to the Math Department Home Page

e-mail Questions and Suggestions