Math 202 Practice Midterm 3

Please work out each of the given problems.  Credit will be based on the steps that you show towards the final answer.  Show your work.

Problem 1  Please answer the following true or false.  If false, explain why or provide a counter example.  If true explain why.  

A.  Let f(x,y,z) be a function with continuous second order partial derivatives and let F(x,y,z) be the gradient of f(x,y,z).  If S is the ellipsoid 

            x2  
                    +  y2 + z2  =  1
            4

oriented outward, then 

       

Solution

False

Using the divergence theorem, we have

       

If gradf(x,y,z)  =  F, then 

        divF  =  fxx + fyy + fzz 

There theorem would be true if the function was harmonic, however if it not harmonic.  All bets are off.  For example, if

        f(x,y,z)  =  1/6 (x2 + y2 + z2)

and 

        divF  =  1/6 (2 + 2 + 2)  =  1

Hence the integral represents the volume of the ellipse which is certainly not zero.  

 

B.  Let F(x,y) be a conservative vector field, then

       

Solution

True,  

The first line integral traces out the line segment from (0,1) to (1,0) and the second traces out the quarter-circle from (0,1) to (1,0).  Notice that in the first integral

        r1(t)  =  (1 - t)i + tj         r1'(t)  =  -i + j  

and in the second integral 

        r2(q)  =  (cos q)i + (sin q)j         r1'(t)  =  (-sin q)i +(cos q) j  

By the fundamental theorem of line integral, the integral is independence of path, hence the two integrals are equal.

 

Problem 2

Show that 

for any closed surface S.  

 

Solution

We use Stokes' Theorem.  We have

       

Where C is the boundary of the surface S.  But since S is a closed surface, it has not boundary.  Hence C is a curve of zero length and the right hand integral is zero.

 

Problem 3

A fish starting at the origin swims in a straight path to the point (0.2,0.1,0.3), then changes direction and swims along the circular path through the point (0.5,0.2,0.6) and the point (0.7,0.5,0.8), and finally changes directions heading straight to the point (1.5,1,2).  The current can by represented by the vector field

        F(x,y,z)  =  (2x + 2z)i + (1 - 3z)j + (2x - 3y + 5)k

Find the total work done by the current.

 

Solution

The important thing to not here is that 

       

Since F is conservative, we can use the fundamental theorem of line integrals.  We seek a potential function f.  We have

        fx  =  2x + 2z

Integrating with respect to x gives

        f  =  x2 + 2xz + C(y,z)

Now taking the derivative with respect to y gives

        fy  =  Cy(y,z)  =  1 - 3z

Integrating with respect to y gives

        C(y,z)  =  y - 3yz + C(z)

so that

        f  =  x2 + 2xz + y - 3yz + C(z)

Now we take the derivative with respect to z to get

        2z - 3y + C'(z)  =  2x - 3y + 5

so that 

        C'(z)  =  5

Integrate with respect to z to get

        C(z)  =  5z

Hence 

        f(x,y,z)  =   x2 + 2xz + y - 3yz + 5z

The fundamental theorem of line integrals gives that the integral is

        f(1.5,1,2) - f(0.2,0.1,0.3)  =  

        [(1.5)2 + 2(1.5)(2) + 1 - 3(1)(2) + 5(2)] - [(0.2)2 + 2(0.2)(0.3) + 0.1 - 3(0.1)(0.3) + 5(0.3)]

        =  11.58

 

Problem 4

Evaluate where F is the vector field 

       

and S is the rectangular solid with vertices (0,0,0), (1,0,0), (1,2,0), (0,2,0), (0,0,3), (1,0,3), (1,2,3), (0,2,3).

 

Solution

We use the divergence theorem.  We have

        div=  1 - 1 + 2  =  2

We have 

       

Since the integrand of the right hand side is just a constant, its value is equal to the constant times the volume of the solid.  Since the solid is a rectangular solid with side lengths 1, 2, and 3, we have

        2(Volume E)  =  2(1)(2)(3)  =  12

 

Problem 5

Find the work done by sailing a ship from the point (2,3) the the point (-1,2) against the wind with velocity field

        F(x,y)  =  yi + (3x + 2y)j

 

Solution

First notice that F is not a conservative vector field.  We need to parameterize the curve and perform the line integral.  The curve can be parameterized by

        r(t)  =  (2 + (-1 - 2)t)i + (3 + (2 - 3))j  =  (2 - 3t)i + (3 - t)j

We have

        dr  =  -3i - j        

        F(t)  =  (3 - t)i + (3(2 - 3t) + 2(3 - t))=  (3 - t)i + (12 - 11t)j 

The integrand becomes

        F . dr  =  -3(3 - t) + (-1)(12 - 11t)  =  -21 + 14t

Now we integrate

       

 

Problem 6

Find the flux of F through the surface S where 

        F(x,y,z)  =  3zi - 4j + yk

and S is the part of the plane

        x + y + z  =  1

in the first octant with upwardly pointing unit normal.

 

Solution

We use Stokes' theorem.  We have 

       

We can write the surface as

        z  =  1 - x - y

Using Stokes theorem we get

       

Problem 7
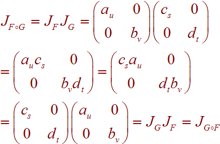
Let F and G be differentiable transformations from R2 to R2 such that for both of these transformations x(u,v) = f (u) is a function of only u and y(u,v) = g(v) is a function of only v.  Prove that
     JFoG  =  JGoF   

Solution

Let

Fx(u,v) = a(u),  y(u,v) = b(v)

Gx(s,t) = c(s),  y(s,t) = d(t)

Then since

JFoG  =  JF JG

Notice that half of the partial derivatives are zero.  We have

J_F = Matrix[(a_u,0),(0,b_v)], J_G = Matrix[(c_s,0),(0,d_t)]

Now, use the multiplication rule for Jacobians to get

JFoG = JFJG = Matrix[(au,0),(0,bv)]Matrix[(cs,0),(0,dt)]=Matrix[(cs,0),(0,dt)]Matrix[(au,0),(0,bv)]=JGJF = JGoF