|
Moments and Centroids Mass and Slugs Newton's Law states that
where F is the force, m is the mass, and
a is the acceleration. In
the US system, Force is measured in pounds and mass is measures in slugs.
Example:
Solution: 165 = 32m
or
In the metric system, kg is a mass unit and Newtons is a weight unit.
Moments and Center of Mass for Discrete Mass Points Suppose that we have a teeter totter and a 10 kg child is on the left 5 meters from the center of the teeter totter and a 15 kg child is on the right 4 meters from the center of the teeter totter. We define the moment as: 10(-5) + 15(4) = 10 In general, we define the moment for masses mi at the points xi to be Moment = S mi xi
If the moment is 0 then we say that the system is in equilibrium.
Otherwise, let x
be the value such that
Proof:
so that
Example:
center of mass = 10/25 = 0.4 We can say that if the center of the teeter totter was 0.4 meters from the current center, then the children would be in balance.
For points in the plane, we can find moments and centers of mass coordinate wise.
We define:
mx = (4)(-3) + (3)(2) + (1)(1) = -5 my = (4)(0) + (3)(2) + (1)(-2) = 8
Center of Mass = (-5/8,8/8) =
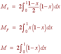
(-0.625,1) Center of Mass for a Two Dimensional Plate First, we recall that for a region of density r bounded by f(x) and g(x)
We have
Pappus Theorem Suppose that we revolve a region around the y-axis. Then the volume of revolution is:
V = 2prA Example Suppose that we revolve the 4 x 4 frame with width 1 centered about (6,2) about the y-axis. Then we have that the Area is A = 4 + 4 + 2 + 2 = 12
R = 7 V = 2p7(12) = 168p
Exercise (x - 11)2 + y2 = 4 about the y-axis.
Back to the Math Department Home e-mail Questions and Suggestions
|