|
Area Between Two Curves Area Between Two Curves Recall that the area under a curve and above the x axis can be computed by the definite integral. If we have two curves
y = f(x) and y =
g(x)
such that
Example:
Solution:
Exercises
Area Bounded by Two Functions of y
Example:
Here the curves bound the region from the left and the right. We
use the formula
![]()
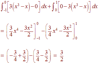
Example: Find the area between the curves y = 0 and y = 3(x3 - x) Solution: when we graph the region, we see that the curves cross each other so that the top and bottom switch. Hence we split the integral into two integrals:
Application
Let y = f(x) be the demand function for a product and
y = g(x) be the supply
function. Then we define the equilibrium point to be the intersection
of the two curves. The consumer surplus is defined by the area above
the equilibrium value and below the demand curve, while the producer surplus
is defined by the area below the equilibrium value and above the supply curve.
Example:
f(x) = 1,000 -
0.4x2 Solution We first find the equilibrium point:
We set
or
We get We integrate
= 8400 |