|
The First Fundamental Theorem of Calculus The First Fundamental Theorem of Calculus:
Statement and Proof
a = x0 < x1 < x2 < x3 < ... < xn-1 < xn = b Then
F(b)
- F(a) =
=
By the mean value theorem there is a ci between xi-1 and xi with
F(xi) - F(xi-1)
F(xi) - F(xi-1) Multiplying both sides by Dxi gives F'(ci)Dxi = F(xi) - F(xi-1)
Substituting into the sum gives
Taking
the limit as n approaches infinity, gives the definite integral. Examples Example 1:
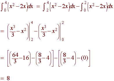
Example 2: Find the area bounded by the curve y = x2 - x , y = 0, x = 4
|