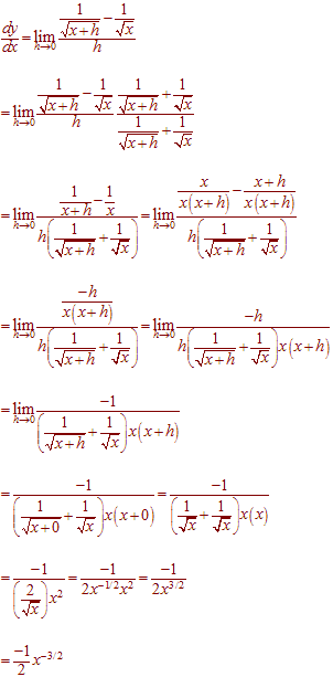
The Derivative of
x
-1/2
Back to the derivative Page