|
Area Area of a Rectangle and
Using Rectangles to Approximate Area Under a Curve
Recall that the area of a rectangle is the height times the base. What
if we wanted to paint a wall that has a ceiling the shape of y =
x2 , a flat floor and a right wall at x = 2 yards and a left wall
at x = 5 yards.
We can approximate the area by cutting out 6 rectangles. Since the base of the wall is 5 - 2 yards long, and there are 6 rectangles, the base of each rectangle is (5 - 2)/6 = .5 yards. The height of each rectangle is the y-coordinate of the left side of each rectangle. The x- coordinates are
2 + 0(.5), 2 + 1(.5), 2 + 2(.5), 2 + 3(.5), 2 + 4(.5), 2 + 5(.5) (2 + 0(.5))2 ,(2 + 1(.5))2 , (2 + 2(.5))2 , (2 + 3(.5))2 , (2 + 4(.5))2 , (2 + 5(.5))2 We see that the ith rectangle has y coordinate: height = (2 + i(.5))2 = 4 + 2i + .25i2 To get the area of the ith rectangle we multiply the height by the base: (4 + 2i + .25i2)(.5) Finally to get the total area we add the terms up: S[(4 + 2i + .25i2)(.5)]
This will be a lower bound for the area.
Exercise:
Left and Right Sums
If we take the limit as i approaches infinity, We arrive at the formulae:
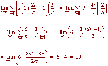
Usually to compute a definite integral, we use left or right sums. Example Use the right sum to find Solution:
|